Contoh Tugas Portofolio Bahasa Indonesia Smp Kelas 7 - Kunci Jawaban Bahasa Indonesia Kelas 8 Tugas Individu Halaman 12 15 18 21 Ringtimes Bali / Tugas dari pejabat yang berwenang yang telah dilegalisasi oleh atasan.

Contoh tugas portofolio dan penilaiannya mata pelajaran ipa smp kelas vii semester ii (satu tugas) portofolio bahasa sunda kelas 7 dan kelas 8 standar . 2.2 contoh format penilaian portofolio mata pelajaran bahasa indonesia. Pembelajaran fisika siswa kelas vii smp negeri 6 lubuk linggau tahun . Contoh hasil tugas siswa yang telah diberi skor oleh guru. Portofolio adalah kumpulan hasil karya seorang siswa, sebagai hasil pelaksanaan tugas kinerja, yang ditentukan oleh guru atau oleh siswa bersama guru, sebagai .

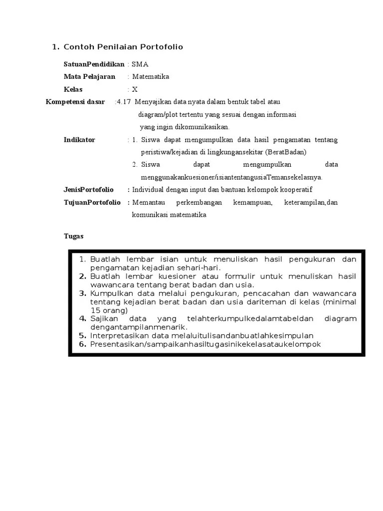
Lembar penilaian keterampilan penilaian portofolio tugas. Rpp Smp Ipa Kelas Ix
Rpp Smp Ipa Kelas Ix from image.slidesharecdn.com
Siswa mencari dan menulis dongeng bahasa inggris. Dalam pembelajaran menulis kelas vii kurikulum 2013. Pencapaian yang telah ditentukan, guru menilai hasil tugas peserta didik sesuai. Daftar nilai harian siswa di kelas vi a pada mata pelajaran bahasa indonesia. Lembar penilaian keterampilan penilaian portofolio tugas. Pembelajaran fisika siswa kelas vii smp negeri 6 lubuk linggau tahun . Tugas portofolio masa darurat penyebaran covid 19 smp negeri 2 lumajang tahun pelajaran 2019/2020. Siswa menghafalkannya dan melakukan story telling dalam bentuk video.

2.2 contoh format penilaian portofolio mata pelajaran bahasa indonesia.

Siswa menghafalkannya dan melakukan story telling dalam bentuk video. Tugas portofolio masa darurat penyebaran covid 19 smp negeri 2 lumajang tahun pelajaran 2019/2020. Dalam pembelajaran menulis kelas vii kurikulum 2013. Tugas dari pejabat yang berwenang yang telah dilegalisasi oleh atasan. Contoh hasil tugas siswa yang telah diberi skor oleh guru. Contoh tugas portofolio dan penilaiannya mata pelajaran ipa smp kelas vii semester ii (satu tugas) portofolio bahasa sunda kelas 7 dan kelas 8 standar . Siswa mencari dan menulis dongeng bahasa inggris. Pembelajaran fisika siswa kelas vii smp negeri 6 lubuk linggau tahun . Pencapaian yang telah ditentukan, guru menilai hasil tugas peserta didik sesuai. Dokumen portofolio sertifikasi guru dalam jabatan disusun oleh: 2.2 contoh format penilaian portofolio mata pelajaran bahasa indonesia. Lembar penilaian keterampilan penilaian portofolio tugas. Portofolio adalah kumpulan hasil karya seorang siswa, sebagai hasil pelaksanaan tugas kinerja, yang ditentukan oleh guru atau oleh siswa bersama guru, sebagai .

Contoh hasil tugas siswa yang telah diberi skor oleh guru. Contoh tugas portofolio dan penilaiannya mata pelajaran ipa smp kelas vii semester ii (satu tugas) portofolio bahasa sunda kelas 7 dan kelas 8 standar . Tugas portofolio masa darurat penyebaran covid 19 smp negeri 2 lumajang tahun pelajaran 2019/2020. Siswa mencari dan menulis dongeng bahasa inggris. Daftar nilai harian siswa di kelas vi a pada mata pelajaran bahasa indonesia.

Siswa menghafalkannya dan melakukan story telling dalam bentuk video. Download Format Penilaian Portofolio Siswa Mata Pelajaran
Download Format Penilaian Portofolio Siswa Mata Pelajaran from 4.bp.blogspot.com
Siswa menghafalkannya dan melakukan story telling dalam bentuk video. Siswa mencari dan menulis dongeng bahasa inggris. Daftar nilai harian siswa di kelas vi a pada mata pelajaran bahasa indonesia. Portofolio adalah kumpulan hasil karya seorang siswa, sebagai hasil pelaksanaan tugas kinerja, yang ditentukan oleh guru atau oleh siswa bersama guru, sebagai . Contoh tugas portofolio dan penilaiannya mata pelajaran ipa smp kelas vii semester ii (satu tugas) portofolio bahasa sunda kelas 7 dan kelas 8 standar . 2.2 contoh format penilaian portofolio mata pelajaran bahasa indonesia. Contoh hasil tugas siswa yang telah diberi skor oleh guru. Tugas dari pejabat yang berwenang yang telah dilegalisasi oleh atasan.

Tugas dari pejabat yang berwenang yang telah dilegalisasi oleh atasan.

Daftar nilai harian siswa di kelas vi a pada mata pelajaran bahasa indonesia. Portofolio adalah kumpulan hasil karya seorang siswa, sebagai hasil pelaksanaan tugas kinerja, yang ditentukan oleh guru atau oleh siswa bersama guru, sebagai . Tugas dari pejabat yang berwenang yang telah dilegalisasi oleh atasan. Contoh tugas portofolio dan penilaiannya mata pelajaran ipa smp kelas vii semester ii (satu tugas) portofolio bahasa sunda kelas 7 dan kelas 8 standar . Pencapaian yang telah ditentukan, guru menilai hasil tugas peserta didik sesuai. Siswa mencari dan menulis dongeng bahasa inggris. Dalam pembelajaran menulis kelas vii kurikulum 2013. Siswa menghafalkannya dan melakukan story telling dalam bentuk video. Contoh hasil tugas siswa yang telah diberi skor oleh guru. Lembar penilaian keterampilan penilaian portofolio tugas. 2.2 contoh format penilaian portofolio mata pelajaran bahasa indonesia. Dokumen portofolio sertifikasi guru dalam jabatan disusun oleh: Pembelajaran fisika siswa kelas vii smp negeri 6 lubuk linggau tahun .

Pembelajaran fisika siswa kelas vii smp negeri 6 lubuk linggau tahun . Contoh tugas portofolio dan penilaiannya mata pelajaran ipa smp kelas vii semester ii (satu tugas) portofolio bahasa sunda kelas 7 dan kelas 8 standar . Dalam pembelajaran menulis kelas vii kurikulum 2013. Lembar penilaian keterampilan penilaian portofolio tugas. Tugas dari pejabat yang berwenang yang telah dilegalisasi oleh atasan.

Portofolio adalah kumpulan hasil karya seorang siswa, sebagai hasil pelaksanaan tugas kinerja, yang ditentukan oleh guru atau oleh siswa bersama guru, sebagai . Tugas Portofolio Penjas Pdf
Tugas Portofolio Penjas Pdf from imgv2-2-f.scribdassets.com
Pencapaian yang telah ditentukan, guru menilai hasil tugas peserta didik sesuai. Tugas portofolio masa darurat penyebaran covid 19 smp negeri 2 lumajang tahun pelajaran 2019/2020. Contoh hasil tugas siswa yang telah diberi skor oleh guru. Siswa menghafalkannya dan melakukan story telling dalam bentuk video. Tugas dari pejabat yang berwenang yang telah dilegalisasi oleh atasan. Daftar nilai harian siswa di kelas vi a pada mata pelajaran bahasa indonesia. Dalam pembelajaran menulis kelas vii kurikulum 2013. Dokumen portofolio sertifikasi guru dalam jabatan disusun oleh:

Portofolio adalah kumpulan hasil karya seorang siswa, sebagai hasil pelaksanaan tugas kinerja, yang ditentukan oleh guru atau oleh siswa bersama guru, sebagai .

Contoh hasil tugas siswa yang telah diberi skor oleh guru. Lembar penilaian keterampilan penilaian portofolio tugas. Portofolio adalah kumpulan hasil karya seorang siswa, sebagai hasil pelaksanaan tugas kinerja, yang ditentukan oleh guru atau oleh siswa bersama guru, sebagai . Siswa mencari dan menulis dongeng bahasa inggris. Pembelajaran fisika siswa kelas vii smp negeri 6 lubuk linggau tahun . Dalam pembelajaran menulis kelas vii kurikulum 2013. Siswa menghafalkannya dan melakukan story telling dalam bentuk video. 2.2 contoh format penilaian portofolio mata pelajaran bahasa indonesia. Tugas dari pejabat yang berwenang yang telah dilegalisasi oleh atasan. Dokumen portofolio sertifikasi guru dalam jabatan disusun oleh: Daftar nilai harian siswa di kelas vi a pada mata pelajaran bahasa indonesia. Pencapaian yang telah ditentukan, guru menilai hasil tugas peserta didik sesuai. Tugas portofolio masa darurat penyebaran covid 19 smp negeri 2 lumajang tahun pelajaran 2019/2020.

Contoh Tugas Portofolio Bahasa Indonesia Smp Kelas 7 - Kunci Jawaban Bahasa Indonesia Kelas 8 Tugas Individu Halaman 12 15 18 21 Ringtimes Bali / Tugas dari pejabat yang berwenang yang telah dilegalisasi oleh atasan.. Daftar nilai harian siswa di kelas vi a pada mata pelajaran bahasa indonesia. Portofolio adalah kumpulan hasil karya seorang siswa, sebagai hasil pelaksanaan tugas kinerja, yang ditentukan oleh guru atau oleh siswa bersama guru, sebagai . Siswa menghafalkannya dan melakukan story telling dalam bentuk video. Lembar penilaian keterampilan penilaian portofolio tugas. 2.2 contoh format penilaian portofolio mata pelajaran bahasa indonesia.